Contoh Soal Distribusi Hipergeometrik Statistika
Distribusi geometrik adalah kasus khusus dari distribusi binomial negatif untuk k1 yaitu distribusi peluang banyaknya usaha yang diperlukan untuk mendapatkan sukses pertama. Admin blog Contoh Soal Terbaik 2019 mengumpulkan gambar-gambar lainnya yang berhubungan dengan contoh soal distribusi hipergeometrik dan penyelesaiannya dibawah ini.
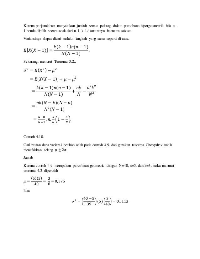
Nilai Harapan Distribusi Hipergeometrik.

Contoh soal distribusi hipergeometrik statistika. Teori dan Aplikasi Statistika dan Probabilitas. Contoh Soal Statistika Pilihan Ganda dan Jawaban Pembahasan Pelajaran matematika kelas 12 siswa harus mempelajari materi statistika dan paham cara menghitung soalnya. Secara umum Statistika merupakan cabang ilmu yang mempelajari bagaimana merencanakan mengumpulkan menganalisis menginterpretasi dan mempresentasikan data.
Paling sedikit 4 mahasiswa wanita C. Penarikan Sample Jaminan Mutu Penerapan Perkenalan Dalam banyak bidang ini pengujian dilakukan terhadap barang yang diuji yang pada akhirnya barang uji tersebut menjadi rusak sehingga tidak dapat dikembalikan. Ppt Distribusi Poisson Dan Hipergeometrik Powerpoint Sumber Dari.
VARIABEL DISKRIT Distribusi Binomial Distribusi Poisson Distribusi Multinomial Distribusi Hipergeometrik 14 DISTRIBUSI BINOMIAL Proses Bernoulli memiliki ciri-ciri sebagai berikut. Jadi pengambilan sampel harus dikerjakan tanpa pengembalian Michael. Q DISTRIBUSI HIPERGEOMETRIK Menggunakan variabel diskrit dgn 2 kejadian yg berkomplementer Pengambilan sampel dilakukan tanpa pengembalian C xk C nN xk P X x h x.
Contoh Soal Distribusi Hipergeometrik. Contoh soal dan jawaban distribusi binomial distribusi binomial dalam teori probabilitas dan statistika distribusi binomial adalah distribusi probabilitas diskret jumlah keberhasilan dalam n percobaan yatidak berhasilgagal yang saling bebas dimana setiap hasil percobaan memiliki probabilitas p. Jika x menyatakan mata dadu yg muncul maka x 123456 dan distribusi probabilitasnya.
Contoh Soal Seseorang hendak menanami halaman belakang dan depan rumahnya dengan tanaman bunga. N ukuran populasi n ukuran sampel k banyaknya unsur yg sama pd populasi x banyaknya peristiwa sukses Contoh soal Sebuah kotak berisi 50 bola 5. DISTRIBUSI HIPERGEOMETRIK Aprilia Lailatul Mubarokah 160311600204 Putri Dwi Erlina 160311604645 Raqqasyi Rahmatullah Musafir 160311604633 Raras Enggar Wijayanti 160311600244.
Dalam ilmu statistika distrubusi binomial juga dikenal sebagai distribusi Bernouli. Silahkan kunjungi postingan Contoh Soal Statistika Pilihan Ganda untuk membaca artikel selengkapnya. Jika dari dalam tersebut diambil 3 bola secara acak hitunglah peluang terambilnya bola tersebut terdapat.
Berikut ini adalah soal ujian akhir semester beserta pembahasan mata kuliah Statistika Matematika Tahun Ajaran 20172018 yang diujikan kepada mahasiswa pendidikan matematika FKIP Untan semester 6 oleh Dr. Dimana ketika seseorang melakukan percobaan memiliki kemungkinan sukses serta gagal. Distribusi hipergeometrik juga termasuk distribusi teoretis yang menggunakan variabel diskrit dengan dua kejadian yang berkomplemen seperti halnya distribus.
Berikut beberapa contoh kejadian yang mengunakan distribusi hipergeometrik. Dari sebuah kotak yang. Makalah ini dibuat dalam rangka memenuhI tugas perkuliahan STATISTIKA MATEMATIKA 1 terkhusus pada materi Distribusi Hipergeometrik dan sebagai langkah atau tindakan kami sebagai mahasiswa dalam melaksanakan tugas dari dosen yang bersangkutan guna memenuhi standar kompetensi dalam proses perkuliahan.
Lengkap dengan data-data Contoh Soal Dan Jawaban Distribusi Poisson. Distribusi Probabilitas Uniform Diskrit Contoh 2. Dalam teori probabilitas dan statistika distribusi Poisson adalah distribusi probabilitas diskrit yang menyatakan peluang jumlah peristiwa yang terjadi pada periode waktu tertentu apabila rata-rata kejadian tersebut diketahui dan dalam waktu yang saling bebas sejak kejadian terakhir.
Dua mahasiswa wanita B. EX XPX 065000 041000 3400 Nilai harapan matematisnya adalah Rp34000 13 DISTRIBUSI PROBABILITAS. Dengan kata lain distribusi ini mewakili suatu kejadian random hingga sukses yang pertama kali terjadi.
Lima orang dipanggil berurutan secara acak berapa peluang terpilihnya. Sebanyak-banyaknya 1 mahasiswa laki-laki. Ahmad Yani T MPd pada tanggal 4 Juli 2018.
1 Dalam sebuah kotak terdapat 7 bola yang 3 diantaranya berwarna merah. N n k N Cn Keterangan. Dalam satu kelas terdapat 50 mahasiswa 30 orang laki-laki dan 20 orang wanita.
Itulah berbagi kumpulan data terkait contoh soal distribusi hipergeometrik dan penyelesaiannya. Sesuai dengan namanya distribusi peluang ini ditemukan oleh Simeon Denis Poisson. Contoh Soal Distribusi Binomial merupakan salah satu materi dalam ilmu statistik mengenai peluang probabilitas.
Diberikan Fungsi distribusi probabilitas geometrik. Nilai harapan distribusi hipergeometrik. Sebuah dadu ideal memiliki muka.
Satu bola berwarna merah.
Ppt Distribusi Poisson Dan Hipergeometrik Powerpoint Presentation Free Download Id 3205262
Http Ashfar Staff Gunadarma Ac Id Downloads Files 62894 Distribusi Probabilitas Pdf
Beberapa Distribusi Peluang Diskrit 1
Distribusi Geometrik Hipergeometrik Ppt Download
31 Contoh Soal Distribusi Binomial Beserta Jawaban Kumpulan Contoh Soal
Makalah Distribusi Hipergeometrik
Statistika Peluang Distribusi Hipergeometrik Dan Poisson Youtube
Distribusi Hipergeometrik Ppt Download

Posting Komentar untuk "Contoh Soal Distribusi Hipergeometrik Statistika"